65th ISI World Statistics Congress

65th ISI World Statistics Congress

Assessing cardiovascular adaptations of professional football players

Author

SP
Stephane Perrey

Co-author

  • I
    Iwen Diouron
  • A
    Abdelhak Imoussaten
  • S
    Sébastien Harispe
  • G
    Guilhem Escudier
  • G
    Gérard Dray

Conference

65th ISI World Statistics Congress

Format: IPS paper - WSC 2025

Keywords: fitness, indicators, machine learning, sport

Session: IPS 813 - Sports Analytics (2 of 2)

Thursday 9 October 2 p.m. - 3:40 p.m. (Europe/Amsterdam)

Abstract

Professional football players face high physical demands throughout the season, which have been increasing steadily for many years. To ensure players’ health (i.e., optimize physical performance and reduce injury risk), practitioners have developed monitoring strategies based on external and/or internal indicators. Yet, there are several operational (i.e., schedule, staff turnover) and theoretical (i.e., non-linear relationship, multifactorial aspect of the activity) limitations hindering their daily use in elite football. To overcome these issues, recent sports science literature has shown interest in using machine learning models. Heart rate (HR), a surrogate measure of the cardiorespiratory system, has raised some interest to monitor training status. We propose to use an indicator based on the difference between predicted and measured HR during specific football drills to track player fitness (ΔHR), as well as indicators related to HR kinetics (i.e., HR acceleration and recovery) and their difference with their predicted value to have a complete overview of the player’s cardiovascular status. The postulate underlying the monitoring of these indicators is intuitive: any deviation from the expected normal behavior (i.e., prediction) informs the practitioner about the player’s training status (e.g., for ΔHR, a higher or lower physiological cost than expected for a given external load (i.e., improved or reduced fitness).
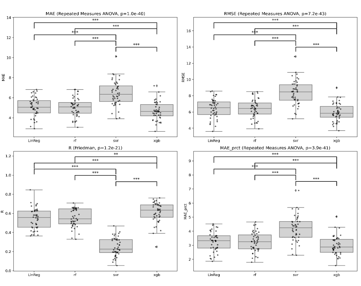
Data were collected from 40 professional soccer players competing in France between July 2022 and May 2025, covering 3 football seasons. Player’s activity and HR were recorded using a 10 Hz GPS unit linked to a designed 1 Hz HR vest during training and match sessions and during specific drills. Individual predictive models of HR responses and HR kinetics were built using traditional machine learning methods (e.g., Random Forest (RF), eXtreme Gradient Boosting (XGB)). On one hand, HR prediction models were trained on a dataset that containing drills’ external load data, hourly weather data, Borg CR-10 scale (perceived exertion) scores and cumulative load. The robustness of the models was assessed using a resampling procedure, and the hyperparameters were tuned using a grid search cross-validation method (CV=5). Root mean squared error, absolute and relative mean absolute error (MAE and %MAE) and coefficient of determination (R²) were used to assess the prediction performance of the models. On the other hand, HR kinetics prediction models will be built with respect to the previous external load, the time-window and baseline HR and will follow the same validation protocol as ΔHR. In the first season, a significant difference in ΔHR between months was found (χ² = 20, P < .05), with a decrease of ΔHR between the early and the middle of the season, and an increase between the middle and the end of the season. The best HR predictive performance was obtained by RF (MAE = 6.59±1.41). The integration of ΔHR in monitoring strategies seems to be useful and may have an impact on training strategies. Future results concerning the last two seasons and HR kinetics will allow to validate this hypothesis. Preliminary results show a better performance concerning HR prediction on the second season (MAE = 4.82).

Figures/Tables

Figure